How To Find Line Of Best Fit Equation : Finally, we use point slope form to write the linear equation that represents the line of best fit.

How To Find Line Of Best Fit Equation : Finally, we use point slope form to write the linear equation that represents the line of best fit.. Includes over 100 nonlinear equations or enter your own. Write an equation for line of best fit. The vertical distance each point is above or below the line has been added to the diagram. Jan 20, 2020 · most likely, you are looking for the median values, and this is why sometimes the trend line is also called the median fit line. Enter the output in list 2 (l2).

X ¯ = ∑ i = 1 n x i n y ¯ = ∑ i = 1 n y i n step 2: One possible line of best fit has been drawn on the diagram. Feb 15, 2021 · how to find a line of best fit in google sheets. Of finding the equation of the line that is closest to all points observed. The following formula gives the slope of the line of best fit:

Writing Equations for the Line of Best Fit Activity by ...
Writing Equations for the Line of Best Fit Activity by ... from ecdn.teacherspayteachers.com
How do you write an equation for line of best fit? Then we find two points that appear to be on the regression line and calculate the slope. Learn how to approximate the line of best fit and find the equation of the line. First, let's create a fake dataset to work with: You will remember that the equation of a straight line is given by Enter the input in list 1 (l1). Linear, polynomial, exponential, log, & power. Of finding the equation of the line that is closest to all points observed.

Write an equation for line of best fit.

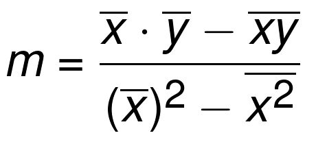
The vertical distance each point is above or below the line has been added to the diagram. Linear, polynomial, exponential, log, & power. Of finding the equation of the line that is closest to all points observed. Enter the output in list 2 (l2). Feb 15, 2021 · how to find a line of best fit in google sheets. Write an equation for line of best fit. You'll gain access to interventions, extensions, task implementation guides, and more for this instructional video. X ¯ = ∑ i = 1 n x i n y ¯ = ∑ i = 1 n y i n step 2: Finally, we use point slope form to write the linear equation that represents the line of best fit. Free technical support · 75 day free trial version How do you calculate the line of best fit? The following formula gives the slope of the line of best fit: M = ∑ i = 1 n ( x i − x ¯) ( y i − y ¯) ∑ i = 1 n.

Includes over 100 nonlinear equations or enter your own. Finally, we use point slope form to write the linear equation that represents the line of best fit. One possible line of best fit has been drawn on the diagram. Add the line of best fit. Free technical support · 75 day free trial version

physical chemistry - Clausius-Clapeyron - Slope of the ...
physical chemistry - Clausius-Clapeyron - Slope of the ... from i.stack.imgur.com
Includes over 100 nonlinear equations or enter your own. If you draw a line of best fit, it is possible to determine the equation of the line of best fit. How do you write an equation for line of best fit? Line of best fit (least square method) step 1: Write an equation for line of best fit. Linear, polynomial, exponential, log, & power. Then we find two points that appear to be on the regression line and calculate the slope. One possible line of best fit has been drawn on the diagram.

We go through an example in this free math video tutorial by mario's math t.

How do you calculate the best fit line? What is the best fit line graph? X ¯ = ∑ i = 1 n x i n y ¯ = ∑ i = 1 n y i n step 2: A more accurate way of finding the line of best fit is the least square method. Free technical support · 75 day free trial version Learn how to approximate the line of best fit and find the equation of the line. Given data of input and corresponding outputs from a linear function, find the best fit line using linear regression. On a graphing utility, select linear regression (linreg). You will remember that the equation of a straight line is given by We go through an example in this free math video tutorial by mario's math t. One possible line of best fit has been drawn on the diagram. Write an equation for line of best fit. Of finding the equation of the line that is closest to all points observed.

You'll gain access to interventions, extensions, task implementation guides, and more for this instructional video. The vertical distance each point is above or below the line has been added to the diagram. M = ∑ i = 1 n ( x i − x ¯) ( y i − y ¯) ∑ i = 1 n. A more accurate way of finding the line of best fit is the least square method. What is the best fit line graph?

Line Of Best Fit
Line Of Best Fit from image.slidesharecdn.com
Finally, we use point slope form to write the linear equation that represents the line of best fit. You will remember that the equation of a straight line is given by Enter the output in list 2 (l2). We go through an example in this free math video tutorial by mario's math t. How do you calculate the line of best fit? You'll gain access to interventions, extensions, task implementation guides, and more for this instructional video. Consider the scatter plot on the right. Feb 15, 2021 · how to find a line of best fit in google sheets.

You will remember that the equation of a straight line is given by

M = ∑ i = 1 n ( x i − x ¯) ( y i − y ¯) ∑ i = 1 n. Consider the scatter plot on the right. If you draw a line of best fit, it is possible to determine the equation of the line of best fit. What is the best fit line graph? The following formula gives the slope of the line of best fit: Linear, polynomial, exponential, log, & power. First, let's create a fake dataset to work with: You will remember that the equation of a straight line is given by Of finding the equation of the line that is closest to all points observed. One possible line of best fit has been drawn on the diagram. How do you calculate the line of best fit? A more accurate way of finding the line of best fit is the least square method. Enter the input in list 1 (l1).

Line of best fit (least square method) step 1: how to find line of best fit. Free technical support · 75 day free trial version